Jawapan matematik tingkatan 5 jawapan matematik tingkatan 2 jawapan conquer matematik tingkatan 3 jawapan matematik tingkatan 2 matematik tingkatan 4 jawapan jawapan conquer matematik tingkatan 3 jawapan buku teks matematik tingkatan 2 soalan matematik tingkatan 2 dan jawapan jawapan buku aktiviti matematik tingkatan 2 jawapan matematik tambahan tingkatan 4
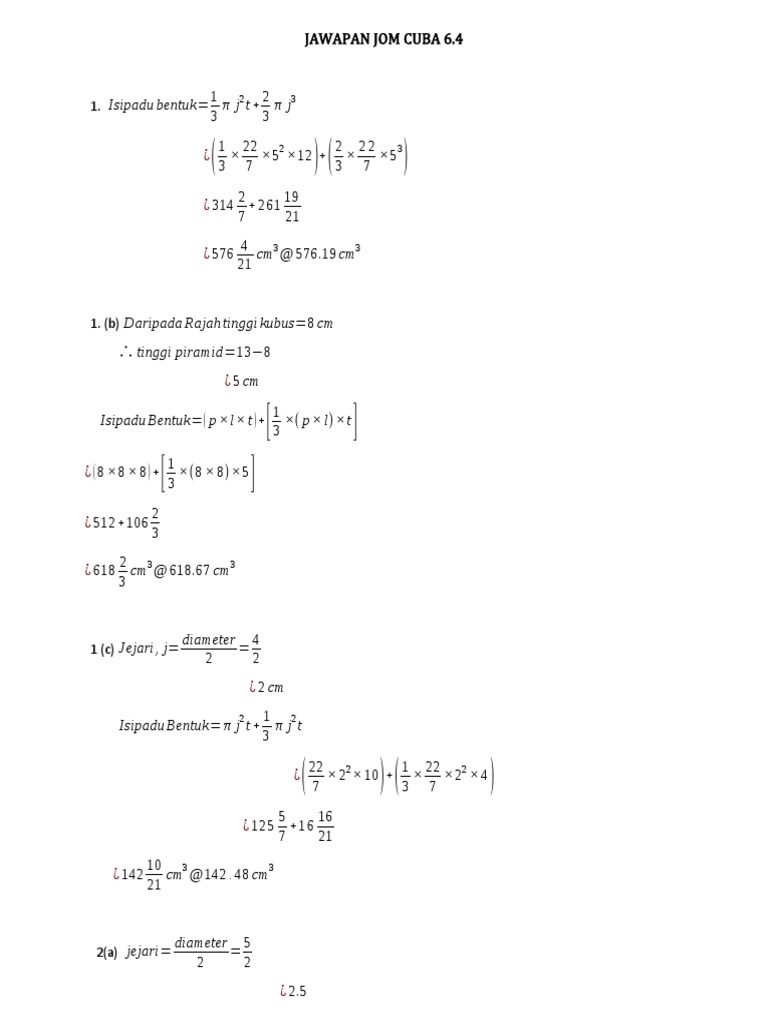
Jawapan Matematik Tingkatan 2 Jom Cuba 6.4. Soalan seterusnya, klik (jom cuba 6.4) merah di bawah untuk ke list menu. Bab 2 pemfaktoran dan pecahan algebra. Jawapan buku teks matematik tambahan tingkatan 4 kssm 2020 bab 1 fungsi fungsi . Kssm matematik tingkatan 2 bab 6 bentuk geometri tiga dimensi jom cuba 6.4 no1 buku teks.

